(通讯员:何琪琪 摄影:何琪琪)为助力澳博体育
学子系统巩固专业知识体系、培养高效自律的学习习惯,6月9日至13日,由澳博体育
团委主办、科技部承办的"笔尖绽‘化’彩,题海泛智舟——每日化学打卡成长计划"在线上平台顺利开展。本次活动以"轻量化积累、持续性提升"为核心理念,吸引全院200余名学生踊跃参与,在为期5天的知识挑战中形成了浓厚的学习氛围。

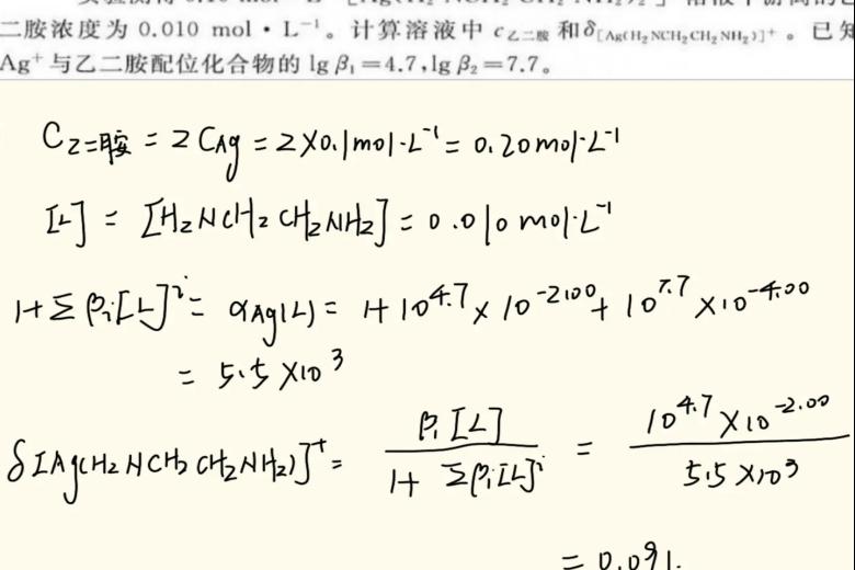
图为参与同学的打卡图片
活动期间,参与者需完成在官方QQ群发布的化学题目,题型涵盖选择题与填空题,内容聚焦无机化学、分析化学等核心知识点。参与者需通过专属打卡链接提交答案,同时以拍照形式上传详细解题过程。活动次日同步公布标准解析,形成"作答—反馈—复盘"的闭环学习模式。同学们可以在打卡平台主动分享多元解题思路,这种开放式的知识共享让解题过程成为思维碰撞的舞台,使抽象的化学知识在交流中变得更生动易懂。

图为参与同学的打卡图片
本次打卡活动不仅为学生搭建了知识沉淀与互动交流的双维平台,更通过持续性学习设计助力学生培养自主探究能力。活动的成功举办为澳博体育
学风建设注入新活力,也让化学学科的逻辑性与趣味性在每日积累中充分展现。
供稿审核:夏玉鑫
编辑审核:夏玉鑫
终审:孙金玲